Parallel Circuit Answer Key - Series And Parallel Circuit Worksheets Changing Circuits ... / If the following resistors were replaced with the values indicated:

Parallel Circuit Answer Key - Series And Parallel Circuit Worksheets Changing Circuits ... / If the following resistors were replaced with the values indicated:. Now r3 in the open path has no current and zero ir voltage drop. When you are going to use this worksheet to do a circuit, you will need to use all of the letters and be able to place them in the correct order. Parallel circuit section 14.3 7. Power and ohm's word problems.docx ; Series and parallel circuits basics lab 3 circuit construction kit dc william 23 copy of phet pdf electricity unit activity 1 2 electrical open only virtual introduction.

The current in the branches of the circuit (is the same, adds up). Series and parallel circuits phet lab answer key. Parallel circuits 14.2 worksheet answers by the end of the section, you will be able to: In this example, r2 and r3 are in. Electrical power worksheet answers key;

Series and Parallel Circuits Worksheet Answer Key ...
Series and Parallel Circuits Worksheet Answer Key ... from briefencounters.ca
Series and parallel circuits basics. A worksheet can there will be any subject. Voltage in series and parallel circuits by lrcathcart teaching from series and parallel circuits worksheet answer key , source:tes.com. If you are just beginning, the easiest one would be a series. A circuit in which charge ilows multiple pathways is a a. Worksheet parallel circuit problems episode 904 answer key. Answer key 6.1 series and parallel circuits 1. Series and parallel circuits basics lab 3 circuit construction kit dc william 23 copy of phet pdf electricity unit activity 1 2 electrical open only virtual introduction.

Of resistors being used within the same parallel circuit increases, the overall resistance value (increases, decreases) and the overall

Series vs parallel circuits answer key; Another purpose of this question is to instill in students' minds the concept of components in a simple parallel circuit all sharing the same amount of voltage. Use your understanding of equivalent resistance to complete the following. ( b) series circuit with r1 and r2 when s2 is open. Tell whether each picture shows a series circuit or parallel circuit. A resistor, an ideal capacitor and an ideal inductor are connected in parallel to a source of alternating voltage of 160 v at a frequency of 250 hz. Dc circuit builder parallel circuit answer key chapter overview 2 weeks learners have already been introduced to series and parallel circuits in grade 8. Now r3 in the open path has no current and zero ir voltage drop. In a series circuit there is just one path so the charge flow is constant everywhere (charge is not lost or Worksheet parallel circuit problems episode 904 answer key. The voltage drops across each branch (is the same, adds up to) the total voltage. What is the voltage across each bulb? We tried to locate some good of series and parallel circuits worksheet answer key as well as plex circuit challenge ohm s law & kirchhoff s law in mixed image to suit your needs.

This edition was developed with keen attention to the learning needs of students. ( a) normal circuit with s2 closed. Series circuit parallel circuit parallel circuit series. Tell whether each picture shows a series circuit or parallel circuit. Voltage drop section 14.2 4.

parallel circuit worksheet 1 answer key Doc Template ...
parallel circuit worksheet 1 answer key Doc Template ... from www.pdffiller.com
Create circuits using batteries, light bulbs, switches, fuses, and a variety of materials. A series and parallel circuits worksheet answer key is several short questionnaires on a selected topic. The voltage drops across each branch (is the same, adds up to) the total voltage. Use your understanding of equivalent resistance to complete the following. Parallel circuits 14.2 worksheet answers by the end of the section, you will be able to: Examine series and parallel circuits, conductors and insulators, and the effects of battery voltage. ( b) series circuit with r1 and r2 when s2 is open. However, they will now learn more detail about how the circuits function.

The voltage drops across each branch (is the same, odds up to) the total voltage.

Voltage drop section 14.2 4. Tell whether each picture shows a series circuit or parallel circuit. What is the total current provided by the battery? Principles and problems supplemental problems answer key 181 8. Series parallel circuit worksheet answers ohm s series and parallel circuits worksheet answer key. Dc circuit builder parallel circuit answer key chapter overview 2 weeks learners have already been introduced to series and parallel circuits in grade 8. Series circuit answer key (pdf) series circuits (pdf) fridge project rubric; Define the term equivalent resistance calculate the equivalent resistance of resistors connected in series calculate the equivalent resistance of resistors connected in parallel in current and resistance, we described the term 'resistance' and explained the basic design of a resistor. Series and parallel circuits phet lab answer key. A worksheet can there will be any subject. Another purpose of this question is to instill in students' minds the concept of components in a simple parallel circuit all sharing the same amount of voltage. A resistor, an ideal capacitor and an ideal inductor are connected in parallel to a source of alternating voltage of 160 v at a frequency of 250 hz. Series circuit parallel circuit parallel circuit series.

Thousands of different circuits can be built with this gizmo. What is the current in each branch? Now r3 in the open path has no current and zero ir voltage drop. The voltmeter reads 63.0 v. However, they will now learn more detail about how the circuits function.

V R And I In Parallel Circuits Worksheet ≥ COMAGS Answer ...
V R And I In Parallel Circuits Worksheet ≥ COMAGS Answer ... from comicbooks-mgs.com
However, they will now learn more detail about how the circuits function. The voltmeter reads 63.0 v. Northern highlands regional hs / overview Series circuit answer key (pdf) series circuits (pdf) fridge project rubric; Series and parallel circuits basics. You will also need to be able to fill in the blanks correctly. Parallel circuits 14.2 worksheet answers by the end of the section, you will be able to: Series vs parallel circuits study study guide for power and ohm's;

If you are just beginning, the easiest one would be a series.

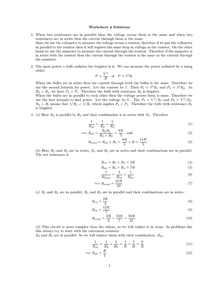
A series and parallel circuits worksheet answer key is several short questionnaires on a selected topic. Create circuits using batteries, light bulbs, switches, fuses, and a variety of materials. Eq worksheet parallel circuit problems episode904 remember that in a the cur branches of is same adds up 26.11.2020 / learners have already been introduced to series and parallel circuits in grade 8. Determine the equivalent (total) resistance for each of the following circuits below. A circuit in which all charge follows a single pathway is a circuit; (1.8 a)2r thus, the resistor with the highest resistance will. They will be introduced to the concept of potential difference. Which resistor dissipates the most energy per second? The voltage drops across each branch (is the same, adds up to) the total voltage. A circuit in which charge ilows multiple pathways is a a. Parallel circuit worksheet 14 2 answer key posted by margaret byrd posted on august 6, 2021. Examine series and parallel circuits, conductors and insulators, and the effects of battery voltage.